Вернуться к содержанию учебника
Выберите год учебника
Стр. 16 учебника 2011-2022:
81. Прочитай диаграмму, показывающую число учащихся в 1 - 4 классах одной из школ.

Начерти в тетради такую таблицу и запиши в ней полученные результаты.
Стр. 16 учебника 2023-2024:
82. На диаграмме показано число учащихся в 1 - 4 классах одной из школ и задан масштаб: 4 ученика обозначены одной клеткой.

1) В каком классе больше всего учеников
2) В каких классах учеников поровну?
3) На сколько больше учеников во втором классе, чем в четвёртом?
Повтори таблицу умножения.
Стр. 16 учебника 2011-2022:
Решение

Пояснение
Масштаб рисунка: 1 клетка - это 4 человека.
Высота первого столбика - 6 клеток, значит, в 1 классе 4 • 6 = 24 человека.
Высота второго столбика - 7 клеточек, значит, во 2 классе 4 • 7 = 28 человек.
Высота третьего столбика - 6 клеток, значит, в 3 классе и 1 классе учеников поровну, то есть 24 человека.
Высота четвёртого столбика - 5 клеток, значит, в 4 классе 4 • 5 = 20 человек.
Стр. 16 учебника 2023-2024:
Решение
1) Во втором классе больше всего учеников.
2) В первом и третьем классах учеников поровну.
3) 28 - 20 = 8
На 8 учеников больше во втором классе, чем в третьем.
Пояснение

Масштаб рисунка: 1 клетка - это 4 человека.
Высота первого столбика - 6 клеток, значит, в 1 классе 4 • 6 = 24 человека.
Высота второго столбика - 7 клеточек, значит, во 2 классе 4 • 7 = 28 человек.
Высота третьего столбика - 6 клеток, значит, в 3 классе и 1 классе учеников поровну, то есть 24 человека.
Высота четвёртого столбика - 5 клеток, значит, в 4 классе 4 • 5 = 20 человек.
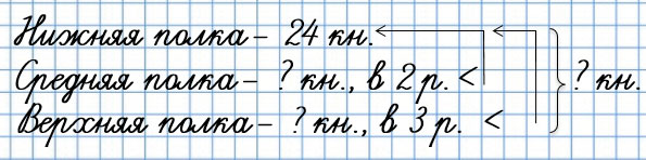
83. На трёх полках стоят книги. На средней полке книг в 2 раза меньше, чем на нижней, а на верхней - в 3 раза меньше, чем на нижней. Сколько книг на трёх полках, если на нижней полке 24 книги?
Повтори случаи табличного и внетабличного деления, а также способы оформления краткой записи к задаче.
Решение
1) 24 : 2 = 12 (кн.) - на средней полке.
2) 24 : 3 = 8 (кн.) - на верхней полке.
3) 12 + 8 + 24 = 44 (кн.)
Ответ: 44 книг на трёх полках.
Пояснение

Сколько книг на средней полке?
1) 24 : 2 = 12 (кн.)
Сколько книг на верхней полке?
2) 24 : 3 = 8 (кн.)
Сколько книг на трёх полках?
3) 12 + 8 + 24 = 44 (кн.)
На нижней полке 24 книги, а на средней - в 2 раза меньше. Вычислим, сколько книг на средней полке:
1) 24 : 2 = 12 (кн.)
На нижней полке 24 книги, а на верхней - в 3 раза меньше. Вычислим, сколько книг на верхней полке:
2) 24 : 3 = 8 (кн.)
На средней полке - 12 книг, на верхней - 8 книг, а на нижней - 24 книги. Узнаем, сколько книг на трёх полках:
3) 12 + 8 + 24 = 44 (кн.)
84. Выполни деление и сделай проверку деления умножением.
| 545 : 5 | 618 : 3 | 728 : 7 | 648 : 6 |
Решение
| Проверка: | ||||||||||||||||||||||||||||||||||||||||||||||||||||||||||||||||||||||||||||||||||||||||||
|
| |||||||||||||||||||||||||||||||||||||||||||||||||||||||||||||||||||||||||||||||||||||||||
|
| |||||||||||||||||||||||||||||||||||||||||||||||||||||||||||||||||||||||||||||||||||||||||
|
| |||||||||||||||||||||||||||||||||||||||||||||||||||||||||||||||||||||||||||||||||||||||||
|
|
Пояснение
Пишу: 545 : 5.
Делю сотни: 5 сот. - это первое неполное делимое. Значит, в частном получатся сотни и в записи частного будет 3 цифры.
Разделю 5 на 5, получу 1 - столько сотен будет в частном.
Умножу 1 на 5, получу 5 - столько сотен разделили.
Вычту 5 из 5, получу 0 - сотни разделили все.
Делю десятки.
Один десяток нельзя разделить на 5, поэтому в разряде десятков пишем 0.
Умножу 0 на 5, получу 0 - столько десятков разделили.
Вычту 0 из 4, получу 4 - столько десятков осталось разделить.
Сравню остаток с делителем: число оставшихся десятков меньше, чем 5.
Делю единицы.
4 дес. 5 ед., всего 45 ед. Это - третье неполное делимое.
Разделю 45 на 5, получу 9 - столько единиц будет в частном.
Умножу 9 на 5, получу 45 - столько единиц разделили.
Вычту 45 из 45, получу 0 - единицы разделили все.
Читаю ответ: 109.
Далее рассуждаем аналогично.
85. Рассмотри расписание поездов Москва-Псков и назови номер поезда, который меньше всего времени будет в пути.
| Номер поезда | Отправление из Москвы | Прибытие в Псков |
| 010А | 19 : 56 | 12 : 00 |
| 023В | 20 : 23 | 08 : 05 |
| 017С | 16 : 00 | 07 : 40 |
Повтори единицу времени - час.
86. По последнему столбику на диаграмме определи масштаб, в котором она построена. Начерти такую таблицу в тетради. Используя данные диаграммы, запиши, сколько учащихся в каждом классе и во всех четырёх классах.

Повтори таблицу умножения.
Решение

Пояснение
4 столбик состоит из 4 клеток и нам известно, что в 4 классе - 12 человек. Значит, масштаб рисунка 12 : 4 = 3 человека.
1 столбик состоит из 5 клеток, значит, в 1 классе 3 • 5 = 15 человек.
2 столбик состоит из 6 клеток, значит, во 2 классе 3 • 6 = 18 человек.
3 столбик состоит из 7 клеток, значит, в 3 классе 3 • 7 = 21 человек.
Мы знаем, что в 1 классе 15 человек, во 2 классе - 18 человек, в 3 классе - 21 человек, в 4 классе - 12 человек. Узнаем, сколько человек в четырёх классах вместе:
15 + 18 + 21 + 12 = 66 человек.
Ребус:

Повтори алгоритм письменного умножения.
Решение
![]() | ![]() |
Пояснение
В произведении 0 в единицах. 0 получается только при умножении на 0 или 5.
Предположим, что второй множитель - 5.
8 может получится только при умножении чисел 1 и 5 и прибавлении трёх десятков. Если 3 десятка запоминали, значит в единицах умножали 6 на 5.
В другом случае рассуждаем аналогично.
Вернуться к содержанию учебника