Номер 431 - ГДЗ Алгебра 7 класс. Мерзляк, Полонский. Учебник. Страница 80

Вернуться к содержанию учебника

Страница 80

428 429 430 431 432 433 434

Вопрос

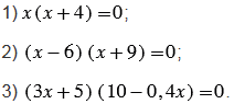
Решите уравнение:

Подсказка

Ответ


Вернуться к содержанию учебника