Номер 663 - ГДЗ Алгебра 8 класс. Мерзляк, Полонский. Учебник. Страница 169

Вернуться к содержанию учебника

Упражнения §20. Страница 169

660 661 662 663 664 665 666

Вопрос

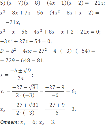
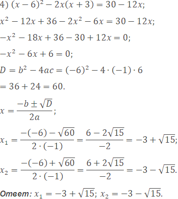
Найдите корни уравнения:

Подсказка

Ответ


Вернуться к содержанию учебника