Номер 698 - ГДЗ Алгебра 8 класс. Мерзляк, Полонский. Учебник. Страница 171

Вернуться к содержанию учебника

Упражнения §20. Страница 171

695 696 697 698 699 700 701

Вопрос

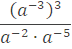
Найдите значение выражения при

Подсказка

Ответ


Вернуться к содержанию учебника