Номер 3 - ГДЗ Алгебра 8 класс. Мерзляк, Полонский. Учебник. Страница 211

Вернуться к содержанию учебника

Задание №6 "Проверь себя". Страница 211

4 1 2 3 4 5 6

Вопрос

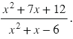
Сократите дробь

Подсказка

Вспомните:

  1. Что такое рациональная дробь.
  2. Основное свойство рациональной дроби.
  3. Сокращение рациональных дробей.
  4. Что такое многочлен.
  5. Какой многочлен называют квадратным трехчленом.
  6. Что называют корнем квадратного трехчлена.
  7. Что называют дискриминантом квадратного трехчлена.
  8. Что называют квадратным уравнением.
  9. Теорему, обратную теореме Виета.
  10. Сложение, вычитание и умножение рациональных чисел.
  11. Что называют разложением квадратного трехчлена на линейные множители.

Ответ

4 1 2 3 4 5 6


Вернуться к содержанию учебника